Customized UPDA MMUP Exam Courses 599 QAR | Xclusive Offer | Today Only

End in  . Register Now

Logo

Post Your Requirements

Buy with Confidence

Question 1

A planned tunnelling project is expected to take approximately 4000 hrs to complete. The owner is not in rush to complete construction. Given this information the best of the proposed work schedule is

Question-Image
Correct Answer : a
Selected Answer : a
Explanation : uploads/Question_Image/43C1e.PNG
Explanation : Explanation-Image

Question 2

A four lane free way runs through rural areas. Each lane is 11 ft wide. A recent traffic study for the directional weakday volume is 2400 vph in one direction. An average of 750 vehicles passes by during the busiest 15 mins. What is most nearly the peak hour factor?

Question-Image
Correct Answer : c
Selected Answer : c
Explanation : uploads/Question_Image/43C2e.PNG
Explanation : Explanation-Image

Question 3

In a simply supported beam subjected to uniformly distributed load throughout the length, at which points is the stress due to {I} Flexure and {II} Shear equal to zero respectively. 1. At support section at neutral fiber 2. At mid span section at neutral fiber 3. At mid span section at top fiber 4. At support section at bottom fiber Which the above statements is / are correct ?

Question-Image
Correct Answer : a
Selected Answer : a
Explanation :
Explanation : Explanation-Image

Question 4

An unsignalized T intersection has three legs are each two way. What is most nearly the total number of conflict point including crossing, merging, and diverging

Question-Image
Correct Answer : b
Selected Answer : b
Explanation : uploads/Question_Image/43C4e.PNG
Explanation : Explanation-Image

Question 5

A planimeter recorded the areas enclosed by the 700 ft and 707 ft grading contours as 1200 ft^2 and 1800 ft^2 respectively. The volume of material enclosed by the contour lines is most nearly

Question-Image
Correct Answer : c
Selected Answer : c
Explanation : Concept: Planimeters are mechanical or digital instruments that are used to measure areas enclosed by boundaries such as curved lines, contour lines and so on. The volume of material enclosed between the contour lines is V=(contour elevation difference)(average end area) (707 ft-700 ft)(1800 ft^2+1200(ft^2)/2) =10500 ft^3 (11000〖ft〗^3)
Explanation : Explanation-Image

Question 6

A project is typically defined in terms of scope time cost and which other parameters?

Question-Image
Correct Answer : b
Selected Answer : b
Explanation :
Explanation : Explanation-Image

Question 7

Project reporting can best be defined as

Question-Image
Correct Answer : a
Selected Answer : a
Explanation :
Explanation : Explanation-Image

Question 8

An internal quality audit should be designed primarily to answer which of the following questions?

Question-Image
Correct Answer : d
Selected Answer : c
Explanation : The primary question an internal quality audit is designed to answer is: d.) What is the level of compliance? Internal quality audits are typically focused on assessing whether processes and activities within an organization comply with established standards, procedures, and regulations. While effectiveness and efficiency are important, the core purpose of a quality audit is to determine the level of compliance with these requirements.
Explanation : Explanation-Image

Question 9

Which one of the following is added during the final stage of 15 pieces of equipment, 50 people, 400days productionof Portland cement?

Question-Image
Correct Answer : c
Selected Answer : c
Explanation :
Explanation : Explanation-Image

Question 10

Bitumen is derived from

Question-Image
Correct Answer : c
Selected Answer : b
Explanation : The correct option is C fractional distillation of petroleum Bitumen is obtained from the fractional distillation of petroleum. Note: Tar is produced by the destructive distillation of coal or wood.
Explanation : Explanation-Image

Question 11

whichof the following elements of a pitched roof industrial steel building primarily resists lateral load parallel to the ridge?

Question-Image
Correct Answer : a
Selected Answer : a
Explanation :
Explanation : Explanation-Image

Question 12

Two circular footings of diameter D1 and D2bare resting on the surface of the same purely cohesive soil. The ratio of their gross ultimate bearing capacities is

Question-Image
Correct Answer : b
Selected Answer : b
Explanation :
Explanation : Explanation-Image

Question 13

If an isolated footing with an area 2.25 m² is needed to carry a 0.25 m x 0.8 m column. The best footing shape would be :-

Question-Image
Correct Answer : b
Selected Answer : b
Explanation : uploads/Question_Image/43C13e.PNG
Explanation : Explanation-Image

Question 14

The highest element in the hierarchical breakdown structure of the WBS is :

Question-Image
Correct Answer : d
Selected Answer : d
Explanation :
Explanation : Explanation-Image

Question 15

An assembly made of a rigid arm A − B − C at end A and supported by an elastic rope C − D at end C is shown in the figure. The members may be assumed to be weightless at the lengths of the respective members as shown in the figure.

Question-Image
Correct Answer : b
Selected Answer : b
Explanation : uploads/Question_Image/a8463449f311410785218d4110075144b09a4a2a.png
Explanation : Explanation-Image

Question 16

A room is 35 ft x 25 ft in plan Ceiling height is 14 ft. Openings for doors and windows total 85 ft. The following data is given for plastering and painting operations. Plaster and paint crew: 1 supervisor $30/lrPlastering productivity 50 ft/LH. 1 labourer $12/lr Painting productivity = 150 f/LH. 2 painter $18/hrTheestimatedlabour cost for plastering and painting the room (walls and ceiling) is most nearly

Question-Image
Correct Answer : b
Selected Answer : b
Explanation : uploads/Question_Image/43C16e.PNG
Explanation : Explanation-Image

Question 17

A cantilever retaining wall is shown below. The resultant active earth pressure per unit length (lb/f| of the wall is most nearly:

Question-Image
Correct Answer : c
Selected Answer : c
Explanation : uploads/Question_Image/43C17e.PNG
Explanation : Explanation-Image

Question 18

A 20-8-wide 24-8-deep trench in a clayey soil is braced as shown below longitudinal spacing of the struts is 8 ft. The asial load in stu S, (k) is most nearly

Question-Image
Correct Answer : b
Selected Answer : b
Explanation : uploads/Question_Image/43C18e.PNG
Explanation : Explanation-Image

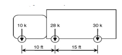
Question 19

A 3-axle vehicle has a front axle load of 10 k, a drive axle of 28 k, and a rear (trailer) axle of 30 k, as shown below. The maximum bending moment (k-ft) produced by this truck on a 70-ft, simple span is most nearly:

Question-Image
Correct Answer : c
Selected Answer : c
Explanation : uploads/Question_Image/43C19e.PNG
Explanation : Explanation-Image

Question 20

For the plane truss loaded as shown below, the force (k) in member CJ is most nearly:

Question-Image
Correct Answer : d
Selected Answer : a
Explanation : uploads/Question_Image/43C20e.PNG
Explanation : Explanation-Image

Question 21

A concrete mix that has a tendency to bleed excessively can be provided by ?

Question-Image
Correct Answer : d
Selected Answer : d
Explanation :
Explanation : Explanation-Image

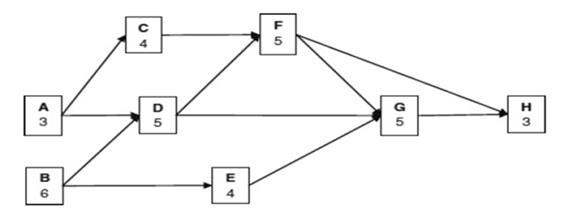
Question 22

The activity on a node diagram for a project is shown below. All durations are in weeks. All relationships are finish to start uless noted otherwise. The free float (weeks) of activity A is:

Question-Image
Correct Answer : a
Selected Answer : a
Explanation :
Explanation : Explanation-Image

Question 23

A contract has 90 days remaining until completion.Early completion will be paid $18,000 bonus per day that the duration is shortened. Activities on the critical path are targeted for "crashing" Critical activities can be accelerated by allocating additional crew wits. Additional cost and schedule reduction are shown in the table below. If crews must be added as a complete unit, the net bonus is maximized by the addition of how many crews?

Question-Image
Correct Answer : a
Selected Answer : a
Explanation : uploads/Question_Image/43C23e.PNG
Explanation : Explanation-Image

Question 24

The highest element in the hierarchical breakdown structure of the WBS is :

Question-Image
Correct Answer : d
Selected Answer : d
Explanation :
Explanation : Explanation-Image

Question 25

What is the primary use of fast track scheduling ?

Question-Image
Correct Answer : d
Selected Answer : d
Explanation :
Explanation : Explanation-Image

Question 26

The ratio of maximum water demand to average water demand is called :

Question-Image
Correct Answer : c
Selected Answer : c
Explanation :
Explanation : Explanation-Image
Hi, How can i help you?
X

Our customer support team is here to answer your questions.

Ask us anything!

Send